創澤機器人
CHUANGZE ROBOT
當前位置:首頁 > 新聞資訊 > 機器人開發 > 機器人的多關節位置控制器:各關節間的耦合與補償

機器人的多關節位置控制器:各關節間的耦合與補償

來源:機器人學基礎     編輯:創澤   時間:2026/1/7   主題:其他 [加盟]

機器人的其他各關節而依次移動一個關節,這種工作方法顯然是低效率的。這種工作 過程使執行規定任務的時間變得過長,因而是不經濟的。不過,如果要讓一個以上的關節同時 運動,那么各運動關節間的力和力矩會產生互相作用,而且不能對每個關節適當地應用前述位 置控制器。因此,要克服這種互相作用,就需要附加補償作用。要確定這種補償,就需要分析 機器人的動態特征。

1. 動態方程的拉格朗日公式

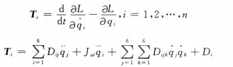
動態方程式表示一個系統的動態特征。我們已在本書第4章中討論過動態方程的一般 形式和拉格朗日方程(4.2)和式(4.24),如下:

式中,取 n=6, 而且 D, 、D 和 D; 分別由式(4.25)、式(4.26)和式(4.27)表示。

拉格朗日方程(4.24)至方程(4.27)是計算機器人系統動態方程的一個重要方法。我們 用它來討論和計算與補償有關的問題。

2. 各關節間的耦合與補償

由式(4.24)可見,每個關節所需要的力或力矩 T, 是由五個部分組成的。式中,D一 項表示所有關節慣量的作用。在單關節運動情況下,所有其他的關節均被鎖住,而且各個 關節的慣量被集中在一起。在多關節同時運動的情況下,存在有關節間耦合慣量的作用。

這些力矩項 需要通過前饋輸入至關節i 的控制器輸入端,以補償關節間的互相作 用,見圖5-14。式(4.24)中的第二項表示傳動軸上的等效轉動慣量為J 的關節i 傳動裝置 的慣性力矩;已在單關節控制器中討論過它。式(4.24)的Z后一項是由重力加速度求得 的,它也由前饋項ta 來補償。這是個估計的重力矩信號,并由下式計算

Ta=(R„/KKR) 元 (5.65)

式中元。為重力矩tg 的估計值。采用D, 作為關于i 控制器的Z好估計值。據式(4.27)能夠 設定關節i 的云值。

式(4.24)中的第三項和第四項分別表示向心力和哥氏力的作用。這些力矩項也需要前 饋輸入至關節i 的控制器,以補償各關節間的實際互相作用,亦示于圖5-14上。圖中畫出 了工業機器人的關節i(i=1,2,…,n) 控制器的完整框圖。要實現這 n 個控制器,需要 計算具體機器人的各前饋元件的 D,,D; 和D, 值 。





機器人的單關節位置控制器:光學編碼器與測速發電機一起組成位置和速度反饋

有個光學編碼器,以便與測速發電機一起組成位置和速度反饋,是一種定位裝置,它的每個關節都有一個位置控制系統;對機器人的關節坐標點逐點進行定位控制

機器人位置控制基本控制結構:關節空間控制結構和直角坐標空間控制結構,伺服控制結構

機器人位置控制有時也稱位姿控制或軌跡控制,主要有兩種機器人的位置控制結構形式,即關節空間控制結構和直角坐標空間控制結構;機器人的伺服控制結構有集中控制、分散控制和遞階控制等

機器人的液壓伺服控制系統的優勢:結構簡單、機械強度高和速度快

液壓傳動機器人具有結構簡單、機械強度高和速度快等優點;一般采用液壓伺服控制閥和模擬分解器實現控制和反饋,省去中間動力減速器,從而消除了齒隙和磨損問題

機器人的基本控制原則:簡化為若干個低階子系統

機器人控制器具有多種結構形式,包括非伺服控制、伺服控制、位置和速度反饋控制、力(力矩)控制、基于傳感器的控制、非線性控制、分解加速度控制、滑模控制、最優 控制、自適應控制、遞階控制以及各種智能控制等

機器人核心零部件:電機與減速器,傳感器與感知模組,伺服電機,大小腦系統-基礎模型-功能模型

電機與減速器是構成機器人關節驅動系統的核心機電組件;傳感器與感知模組用于實時獲取機器人自身狀態及與環境交互信息的感知單元;機器人大腦系統負責感知和規劃決策

機器人語音識別主要模式:頻譜圖法,LPC法,隱藏式馬可

頻譜圖法將語音信號的頻譜沿著時間軸加以展開,識別精度一般;LPC法是對語音信號抽取LPC系數;隱藏式馬可夫模式用于非特定人的語音識別,建立語音的狀態轉移模式

機器人圖像處理的幾種方法:點運算、圖像增強、圖像復原

機器人通過攝像頭這些外設獲得圖像之后,利用某種算法來進行圖像之間的變換,對圖像進行各種操作以達到所需要實現的功能;點運算改善圖像的顯示效果

機器人如何看到物體:由硬件圖像采集和軟件圖像信息處理

由圖像采集系統,圖像處理系統及信息綜合分析處理系統構成;機器人的視覺,大概可以理解為“視”和“覺” 兩部分;系統主要由圖像采集部件、圖像的處理和分析、處理結果輸出裝置

機器人如何規劃行走路線:全局規劃方法,局部規劃

全局規劃方法依照已獲取的環境信息,給機器人規劃出一條路徑,路徑的精確程度取決于獲取環境信息的準確程度;局部規劃方法側重于考慮機器人當前的局部環境信息

機器人的視覺傳感技術,從二維圖像中理解和構造出三維世界的真實模型

機器人的視覺系統是通過圖像和距離等傳感器來獲取環境對象的圖像、顏色和距離等信息,然后傳遞給圖像處理器,利用計算機從二維圖像中理解和構造出三維世界的真實模型

機器人的工件識別傳感器:接觸識別、采樣式測量、鄰近探測、距離測量、機械視覺識別

接觸識別這種測量一般精度不高;采樣式測量如測量某一目標的位置、方向和形狀;距離測量測量某一目標到某一基準點的距離;機械視覺識別測量某一目標相對于一基準點的位置方向和距離

機器人的柔性腕力傳感器:檢測末端執行器所受外力/力矩的大小和方向

腕力傳感器安裝在機器人手臂和末端執行器之間,更接近力的作用點,準確地檢測末端執行器所受外力/力矩的大小和方向,為機器人提供力感信息,擴展了機器人的作業能力
資料獲取
機器人開發
== 資訊 ==
機器人的多關節位置控制器:各關節間的耦合
機器人的單關節位置控制器:光學編碼器與測
機器人位置控制基本控制結構:關節空間控制
機器人的液壓伺服控制系統的優勢:結構簡單
機器人的基本控制原則:簡化為若干個低階子
智能機器人產業發展政策端驅動因素:政府工
機器人核心零部件:電機與減速器,傳感器與
人形機器人技術生態:感知模塊,決策模塊,
人形機器人生態演進年度十個特征:量產元年
人形機器人生態報告2025-技術體系與產
機器人的電子鼻工作原理:特定氣味會產生電
智能機器人的聲源定位方法:頭部相關聯函數
機器人非特定人語音識別流程:幅度檢測,過
機器人特定人語音識別系統判別的基本方法:
機器人語音識別主要模式:頻譜圖法,LPC
== 機器人推薦 ==
迎賓講解服務機器人

服務機器人(迎賓、講解、導診...)

智能消毒機器人

智能消毒機器人

機器人開發平臺

機器人開發平臺


機器人底盤 Disinfection Robot 消毒機器人  講解機器人  迎賓機器人  移動機器人底盤  商用機器人  智能垃圾站  智能服務機器人  大屏機器人  霧化消毒機器人  展廳機器人  服務機器人底盤  具身智能教育機器人  智能配送機器人  導覽機器人 
版權所有 創澤智能機器人集團股份有限公司 運營中心:北京 清華科技園九號樓5層 生產中心:山東日照太原路71號
銷售1:4006-935-088 銷售2:4006-937-088 客服電話: 4008-128-728